| Sign In | Join Free | My wneducation.com |
|
Brand Name : GUOLUN
MOQ : 1
Price : Negotiable
Packaging Details : Standard Packing
Delivery Time : 15-30 days
Payment Terms : Negotiable,T/T
Supply Ability : Negotiable
Place of Origin : CHINA
Conductive Polymer Aluminum Solid Capacitors
Solid state electrolysis-2.4.1
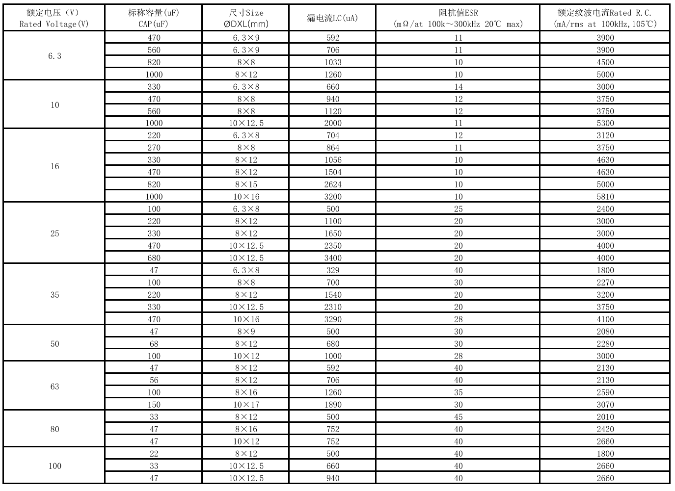
| Series | code | Features | Endurance (hours) | Temperature Range(℃) | Rated Voltage(Vdc) | Capacitance Range(uF) |
| RS | RS | Standard | 105℃ 2,000 | -55~+105 | 2.5~100V | 6.8~3300 |
| RH | RH | Long life | 125℃ 2,000 | -55~+125 | 6.3~100V | 22~1000 |
| RL | RL | Long life | 105℃ 2,000 | -55~+105 | 2.5~100V | 6.8~3300 |

RS Series:


RH Series:

RL Series:

RL Series:

|
|
2.5V Solid Oxide Electrolyzer 2.4.1 Conductive Polymer Aluminum Solid Capacitors Images |